ARCHIVE
Vol. 11, No. 2
JULY-DECEMBER, 2021
Editorials
Research Articles
Research Notes and Statistics
Review Articles
Tribute
Surplus Labour in Crop Production:
Evidence from Select Villages in India
*Centre for Economic Policy and Public Finance, Asian Development Research Institute, Patna niladri.d@gmail.com.
https://doi.org/10.25003/RAS.11.02.0002
Abstract: This paper attempts to measure the magnitude of surplus labour in crop production in different agroecological regions of India. The study also examines the gender composition of surplus labour in agriculture. The first finding is that actual labour use in crop production is a small proportion of total labour supply: the proportion varies from a minuscule 8 per cent to only 28 per cent. The second feature of the study is that it measures the employment gap month-wise. The gap between actual labour absorption and labour supply varies across villages, seasons and months. In some cases, there are specific times of the year when labour demand in crop production, in fact, exceeds the supply of labour. There has been no recent study that attempts to put numbers on the extent and gender composition of unemployment in different cropping systems and month by month. The data for the study come from nine villages surveyed by the Foundation for Agrarian Studies. Our findings show, in general, that the current labour-carrying capacity of crop production leaves a large section of the working population, especially women, unemployed or underemployed. The more detailed findings provide insights into crop production and unemployment in specific agrarian contexts.
Keywords: village studies, surplus labour, unemployment, underemployment, crop production, seasonality, women workers, India
Introduction
Despite the varying degrees of structural transformation that have occurred in developing economies, agricultural production continues to involve the major share of their working population. India is no exception to this: in 2020, agriculture, which accounted for 19.9 per cent of gross domestic product (GDP), employed 41.5 per cent of the total workforce. It is well established that agricultural production is a seasonal activity with large seasonal variations in the demand for labour (Taylor and Charlton 2019). Agriculture is characterised by massive underemployment, and variations in labour demand lead to complex issues involving surplus labour. Theoretically speaking, the large pool of “surplus” workers can be withdrawn from the agricultural sector and gainfully employed in other sectors without affecting agricultural output. To estimate the magnitude of surplus labour in crop production and, eventually, arrive at an estimate of surplus workers, an in-depth analysis of labour absorption in crop production across agroecological regions is essential. This paper aims to assess the level of labour absorption in crop production in different agroecological regions of India. It also attempts to estimate the extent of labour that can be withdrawn from crop production for gainful employment elsewhere, especially in non-farm activities. The study also enquires into the gender composition of the surplus labour in agriculture.
In mainstream literature, the work–leisure framework is widely used to measure surplus labour. The assessment of surplus labour under this framework is based on estimation of the marginal product of labour. As articulated by Reynolds (1969), a shortcoming of the estimation of marginal product under the work–leisure framework is that “if the last ounce of food must be produced to avoid starvation, the valuation of leisure is irrelevant.” Moreover, the framework fails to measure marginal productivity in case family labour is not fully absorbed even during the seasonal peak (ibid.), which is apparently a common phenomenon observed in different production systems. Also, the concept of zero marginal productivity to identify surplus labour might not be useful when a farm hires labour to perform specific operations irrespective of farm size (ibid.).
An alternative framework that uses scale of production and intensity of input use to estimate surplus labour is methodologically much simpler since it is not based on stringent assumptions like zero marginal productivity. This alternative framework considers multiple factors such as scale of operation, farm size, diversity in cropping pattern, intensity of input use, and access to means of production to estimate surplus labour in crop production (Sen 1964; Bhattacharya and Saini 1972; Bharadwaj 1974; Berry and Cline 1979; Athreya et al. 1986; Bharadwaj 1994). In this framework, as argued by Ishikawa (1981), the scale of production and input use are influenced by natural (e.g., climate, soil), technological (e.g., irrigation, the use of modern implements, high-yielding variety seeds, fertilizers, pesticides), and institutional (e.g., farm size, tenancy, levels of knowledge and information, tradition and customs) factors, which in turn determine the level and pattern of labour absorption in crop cultivation.
Dwelling further on this, the effects of scale of operation and intensity of input use on the labour absorption pattern can be divided into two broad categories. The major labour-augmenting factors are irrigation and the use of biochemical inputs, and the major labour-displacing factor is the mechanisation of crop operations. In the initial phase of the Green Revolution, changes in cropping pattern, crop intensity, and agricultural modernisation increased labour demand (Mehta 2006), and changes in the cropping pattern and crop diversification affected both the number of days of labour absorbed and the pattern of employment (Bardhan 1983; Ramachandran 1990; Ramachandran, Swaminathan, and Rawal 2002). On the other hand, the impact of farm mechanisation on employment has been described as “indeterminate” (Osmani 1998).1 The increase in the cultivation of commercial crops (like fruit, vegetable, and horticultural crops), mechanisation in paddy and wheat cultivation, and the significant changes in input structure (Vyas 2004) had a definite impact on labour absorption (Ramachandran and Rawal 2009), and likely had an impact on the pattern of labour deployment by different sections of the peasantry as well as landlords and capitalist farmers. Total labour demand and the composition of labour demand can also vary due to seasonality, that is, variations in labour demand during peak and lean agricultural seasons.2
Seasonality in agriculture complicates the functioning of the rural labour market. Inter- and intra-seasonal variations in labour use in crop production create shortage or excess of labour, depending upon the overall cropping intensity and intensity of labour use in various crop operations, such as land preparation, sowing/transplanting, intercultural operations, and harvesting and post-harvesting operations.3 Even within a single crop season, the rural labour market can face both labour shortages, which functions as a constraint on agricultural production, and underemployment, which functions as a constraint on the livelihood of agricultural workers attached to the production system.4 The coexistence of labour shortage and underemployment has been prominent in agrarian economies with less developed forces of production, like India.5 Further, the coexistence of these two opposite forces – labour shortage and extensive underemployment – impacts male and female labour in the rural labour market differently. Jarvis and Vera-Toscano (2004) have argued that female labour was adversely affected by seasonal underemployment, as wages for female labour varied by more than 50 per cent (in real terms) seasonally and female labour force participation varied by about 30 per cent. In the case of male labour, labour force participation was less responsive to seasonal wage variations (ibid.).6 The intensity of seasonality in crop production and the consequent variation in labour demand also plays an important role in non-farm rural employment generation, and affects household income and other aspects of livelihood (Bezu et al. 2012; Haggblade et al. 2010; Lanjouw and Lanjouw 2001).
According to Mitra (1976), “surplus labour” is not really surplus unless it can be mobilised for development needs. The theoretical and empirical work on surplus labour, especially in the Indian context, was mostly done during the 1950s and 1960s.7 In recent times, though the nature and description of this problem are correctly put forth, the magnitude of surplus labour and the characteristics of production systems that generate surplus labour are under-researched. The dearth of such research can be attributed to the lack of comprehensive databases on various aspects of farm economics. To fill this gap, in the first decade of the twenty-first century, the Foundation for Agrarian Studies (FAS) initiated the Project on Agrarian Relations in India (PARI), which conducted village studies that revisited some of the major issues related to farm economics, including of labour and employment, in the era of neoliberalism.
Data Source
The PARI data archive is constituted of 25 village studies spread across 11 States of India. For this specific study I have used data from the archive for nine villages in six States with distinct agrarian production systems and populations. Of these nine villages, three – Ananthavaram in Andhra Pradesh, Nimshirgaon in Maharashtra, and 25F Gulabewala in Rajasthan – are agriculturally prosperous villages, and two – Katkuian and Nayanagar in Bihar – are highly populated and have a substantial workforce migrating annually to different parts of India (see Table A1). Another two villages, Warwat Khanderao and Zhapur, are situated in the dry regions of Maharashtra and Karnataka, respectively. The remaining two villages are from West Bengal where cultivation occurs in three seasons, and they too have a large migrant workforce.
Data are available on labour days and work hours for all crops and crop mixes cultivated on all operational holdings; for all crop operations undertaken by each type of labour (family labour, wage labour on daily wage payment, wage labour on piece-rate payment, exchange labour, and long-term labour); for hours of machine labour utilised; wages paid to hired labourers on both daily-wage and piece-rate contracts; and rental charges for hired machines. Data were collected on actual work hours, but calendar days were converted into standard eight-hour labour days for purposes of analysis. Information pertaining to hours of work and number of days of employment for non-agricultural wage workers was also collected. Workers engaged in salaried/regular wage employment are considered fully employed for the entire production year, unless the time period is specified in the database. In the case of household labour use in livestock, we assumed that a household spends half an hour per day per animal for 365 days in the production year, and also converted the time into standard eight-hour working days following Vijayamba (2018).8
Levels of Labour Absorption in Crop Production
Inter-seasonal Variation
Crop production continues to be seasonal, even though over the years, improvement in the forces of production by means of irrigation, land improvement measures, and mechanisation has increased crop intensity and helped reduce the impact of seasonality on crop production.
The data, presented in Table 1, suggest that in six out of the nine villages, a major share of the total labour employment was generated in the kharif (monsoon crop) season. Lack of irrigation either compelled cultivators to leave their land fallow or to cultivate less labour-intensive crops in the rabi (winter) season. However, the distribution of labour use across seasons was less skewed in irrigated villages. In Panahar in West Bengal and Nayanagar in Bihar, the major share of total labour employment was generated in the rabi season. In three other villages – Ananthavaram, Nimshirgaon, and Katkuian – labour use was evenly distributed over the production year, owing to the cultivation of perennial and annual crops.
Intra-Seasonal Variation
In the study villages, intra-seasonal variation in labour deployment was remarkably high. Intra-seasonal variation primarily occurs due to differential labour requirements to perform agricultural operations.9 Some agricultural tasks also overlapped within the same time period. For instance, irrigation, weeding, and applying fertilizer and pesticides were undertaken either simultaneously or in quick succession of each other during the intermediate period of crop duration. Among the major agricultural tasks, harvest and post-harvest operations demanded a large share of labour for most crops and in most seasons across the study villages.
Land preparation operations were the least labour-intensive across all the study villages, for the obvious reason of extensive use of mechanised ploughing, especially tractor ploughing. In the study villages, around 70 per cent of machine labour in crop production was utilised for land preparation (Dhar with Patra 2017). This indicates that very few agricultural tasks were mechanised other than land preparation (ibid.). In some cases, the threshing of cereal crops was done by mechanical threshers. The use of machines especially in land preparation was almost universal across all sections of farmers, the only exception being Nimshirgaon. In Nimshirgaon, the nature of the cropping pattern deterred landlords and large farmers from using machines for land preparation; instead, human and animal labour were used. So, broadly speaking, the labour-displacing argument does not hold good in all the study villages, since mechanisation was mostly confined to land preparation operations, which did not impact total labour absorption in crop production significantly.
Labour use within a crop season was strikingly skewed, and this complicated the estimation of surplus labour in crop production. Let me explain using the case of 25F Gulabewala village (see Figure 1 for 25F Gulabewala, and for other villages, see Figures A1 to A8 in the Appendix.). In 25F Gulabewala, Rajasthan, total labour use in the kharif season to cultivate cotton was 18,882 standard labour days, of which about 80 per cent was spent on picking cotton. Among other tasks, weeding and irrigation together absorbed 15 per cent of total labour use during the months of August and September. So, 95 per cent of total labour use was concentrated in the months from August to November. This implies that from May to July, labour absorption was just 5 per cent of total labour use. The phenomenon of excess labour or underutilised labour was observed in all seasons and across all villages; however, the level and duration of unutilised labour varied. In 25F Gulabewala, unutilised labour could be moved away from crop production, but only for three months, as it would be recalled for harvest and post-harvest operations. Failure to mobilise labour during harvest and post-harvest operations would certainly impact the output. To ensure availability of labour during peak periods, risk-averse production organisations prefer to keep labour throughout the crop season, even if most labour days remained unutilised for most of the season.
Labour Use by Crops
One of the key determinants of labour absorption in crop production is the combination of crops grown in any production system. The adoption of crop cycles by different strata of cultivators is determined by agroecological conditions, and the available forces of production. The majority of cultivators in the study villages adopted crop cycles dominated by cereal crops like rice, maize, and pulses (red gram, green gram, etc.). A relatively small section of cultivators – those who owned or had access to good-quality land, defined in terms of irrigation (in many cases, multiple irrigation facilities), soil quality, and the capacity to invest in crop production (both large initial investments and working capital) – cultivated high-value crops. For example, landlords and rich peasants cultivated crops like betel leaf, sugarcane, and turmeric (Ananthavaram in Andhra Pradesh); fruit and vegetables (Nimshirgaon in Maharashtra); and sugarcane (Katkuian and Nayanagar in Bihar, Nimshirgaon in Maharashtra). The above-mentioned cropping systems were highly labour-absorbent, especially of hired labour, as members of landlord and rich peasant households did not participate in manual labour, but only performed supervisory activities to ensure timely completion of agricultural tasks and quality of work. Moreover, crop operations for high-value crops required a large contingent of labour at a specific point in time, and the primary source of labour was the rural wage-labour market. Furthermore, cotton (cultivated in Warwat Khanderao, Maharashtra; and 25F Gulabewala, Rajasthan) was also a labour-intensive crop, creating a substantially large demand for labour.
For middle and small peasants, rice dominated the crop cycle in most of the survey villages. Rice cultivation had a significant impact on aggregate labour use, as it generated a large number of days of employment. The labour intensity in rice cultivation (measured in terms of labour use per acre of land) varied significantly across the study villages. Such variations emanated from differences in the method of irrigation, level of mechanisation, and type of wage contract (Dhar 2012). Studies have shown that labour absorption in rice cultivation declined over time (Van der Eng 2004; Hayami and Kikuchi 2000). For example, Sundarayya (1977) noted that labour use in rice cultivation in Ananthavaram, Andhra Pradesh, was 70 days per acre in 1974. But the PARI survey of the village in 2005–06 showed it to be 41 days per acre of land: a decline of 40 per cent over 32 years. A similar decline was also observed in other parts of the country.
Distribution of Labour Use in a Production Year
Month-wise distribution of labour use in crop production in a production year provides a clear picture of peaks and troughs in labour deployment. For instance, in Kalmandasguri and Panahar in West Bengal (Figure 2), the major crops grown were jute (Kalmandasguri) and rice (Panahar) in the pre-kharif (summer) season; rice in kharif; and potato, rice, and sesame in rabi.10 In Kalmandasguri, about 89 per cent of the total labour use was concentrated in four months of the year. The two peak labour-absorbing periods were July–August (absorbing 24 per cent of total labour use for jute harvesting and post-harvesting operations) and November–December (absorbing 23.5 per cent of total labour use for rice harvesting). No labour was absorbed in crop production in September–October, January–February, and April–May; a similar pattern was observed in Panahar. So, even with a three-season crop cycle in these West Bengal villages, variability in labour use over months in the production year was observed.

Figure 1 Labour time absorbed in each crop operation as a proportion of labour time absorbed in all crop operations in a season, 25F Gulabewala in per cent
Note: OP_1 = Land preparation, OP_2 = Sowing/transplanting, OP_3 = Irrigation, OP_4 = Weeding, OP_5 = Intercultural operations, OP_6 = Harvest and post-harvest operations, OP_7 = Miscellaneous operations.
Source: PARI survey data.

Figure 2 Labour time absorbed in each month as a proportion of labour time absorbed in all crop operations in a year, West Bengal study villages in per cent
Source: PARI survey data.
In Warwat Khanderao in Maharashtra, a dry village growing cotton in the kharif season and with almost no crop cultivated in the rabi season, the month-wise variability in labour use was even sharper. Figure 3 suggests that no labour was absorbed in five months of the production year, and that another four months absorbed only 11 per cent of total labour use. The major share of labour was absorbed in August–September (45 per cent for weeding in cotton, and harvesting and post-harvesting operations in green gram and pigeon pea intercropped with cotton). In June–July and October–November, the major labour-absorbing agricultural tasks were sowing and picking cotton, respectively, and these two operations absorbed 66 per cent of total labour use. Even if cultivators preferred to retain peak-period labour throughout the year to avoid any shortage of labour during the peak period, 55 per cent of unutilised labour time could be shifted from crop production for at least five months (November–January and again from February to April/May), as no labour time was absorbed during this period. This indicates the inability of crop production to consistently generate employment throughout the production year.

Figure 3 Labour time absorbed in each month as a proportion of labour time absorbed in all crop operations in a year, Warwat Khanderao in per cent
Source: PARI survey data

Figure 4 Total household labour use as a proportion of potential labour supply, study villages in per cent
Source: PARI survey data.
Labour Supply11
In an agrarian economy, labour supply in any production process is the outcome of an interplay of economic, social, and demographic factors. This section of the paper discusses the extent of workers available for crop production and other economic activities, and uses different indicators to measure the extent of labour supply for own production as well as production processes in other spheres by rural households belonging to different socio-economic classes.
Average Size of Households in the Study Villages
Mukherjee and Krishnaji (1995) arrived at the conclusion that large landholdings are correlated with large family size in the form of joint households, whereas small landowners and agricultural labour households form nuclear households.12 Village-level data confirm the hypothesis that the probability of household division increases with reductions in the level of ownership of productive assets (see Table A2). In other words, the poorer the household, the smaller it is likely to be.
Across all the study villages, the average size of small peasant and manual worker households ranged from four to seven, with the median between four and five members. The average size of landlord and rich farmer households ranged from four to 15, with the median between five and eight members. With the exception of Ananthavaram in Andhra Pradesh and Nimshirgaon in Maharashtra, economically better-off households in all the villages have phased out the joint family norm because of economic and demographic transitions over the last two generations. In Ananthavaram and Nimshirgaon, landlord and rich farmer households invested in technical and higher education, which in turn resulted in the migration of young members of the households, leaving behind smaller households at the village residences. In Ananthavaram, the mean age of members of landlord and big capitalist farmer households was 49 years, while the mean age of members belonging to peasant-class households ranged from 32 years for poor peasant households to 37 years for rich peasant households and 35 years for manual worker households. Given the lower mean age of members of peasant and manual worker households, the propensity of young working-age population from such households crowding the rural labour market was significantly high in these villages. In the other study villages, landlord and rich farmer households continued with undivided/joint-family households to reap the economic opportunities available both in the village and in the neighbouring towns (Ramachandran, Rawal, and Swaminathan 2010).
Within the peasantry, nuclearisation of the joint family was most prominent among the class of middle peasants. Except in some villages with a high total fertility rate (TFR) – especially Katkuian and Nayanagar in Bihar, and Zhapur in Karnataka – this nuclearisation was almost complete. The size of household among the class of middle peasants ranged between four and seven. The nuclearisation process was even more prominent in agriculturally progressive villages like Ananthavaram, Nimshirgaon, and Panahar. Two explanations can be given for this tendency. First, there was fragmentation of families due to patrilineal inheritance of paternal assets – primarily land. Secondly, following the realisation by landlord and rich peasant households of the importance of investing in further education, middle peasant households also started investing in education and other businesses in urban locations. This diversification away from agriculture further induced the process of nuclearisation of the family among the peasantry. In the case of manual worker households, the average household size ranged from three to seven. The small peasant households resembled manual worker households in terms of average size of household in most of the study villages.
Average Number of Workers per Household and Quality of Occupations
The number of workers per household was positively correlated with household size across all socio-economic classes (see Table A3). Among landlord and rich peasant households, those with older working-age members were better posed to take advantage of diversified economic activities. The working members of these households primarily undertook supervisory roles in their own farm production processes, and diversified their sources of income into remunerative business, salaried jobs, and other non-farm activities.
In almost all the villages, between two to three members of each household participated in economic activities. Members of middle and small peasant households expended their labour in own cultivation, and either sold the remaining, unspent labour in the rural wage-labour market or engaged in self-employment activities. One reason for the presence of a larger number of workers per household among these classes was the high degree of diversification of income-generating activities. For small peasant households, the average number of occupations per household varied from three to five, with crop production, wage employment, and rearing animals being the most prominent economic activities. Members of small peasant households worked on their own farms, as well as participated in manual wage work in agricultural and non-agricultural activities; very few engaged in remunerative businesses and salaried activities. The village data suggest that the average number of workers per manual worker household was two. These households were primarily engaged in both agricultural and non-agricultural wage employment.
Estimation of Current Labour Use in Crop Production vis-a-vis Potential Surplus Labour
A popular method to determine surplus labour is to apply the Cobb–Douglas production function and understand whether the marginal product of labour is zero; this method was used by Muqtada (1975), for instance. Reynolds (1969) defined labour in terms of person-hours, and following Fei and Ranis (1964), identified surplus labour as that which yields zero marginal productivity. However, Sen (1975) had cautioned that work equilibrium at zero marginal product of labour is neither necessary nor sufficient for the theory of disguised unemployment. Moreover, to adopt Cobb–Douglas functions in specifying agricultural production may be misleading in so far as some crucial input relations are complementary or supplementary in nature (Ishikawa 1976).
In the absence of any unique measure of surplus labour, an alternative approach has been to directly calculate surplus labour from observable relationships such as those of labour and crop output or of labour and cropped land. To account for seasonal surplus labour, individual workers were considered to work “full-time” for only a few months in a year; this method was also used when the workload is unevenly spread over the year (Muqtada 1975). As in the slack season, the workers were required to work only a fraction of the work-unit required during the busy season (ibid.). Labour could not, in other words, be moved out of agriculture without affecting production unless there was agricultural reorganisation (Wahid 2007). Hence, for a measure to be useful, it must be able to decompose the seasonal component of unemployment and measure the labour force that is “truly surplus,” even when labour requirements are at seasonal peaks (ibid.). It is difficult to conduct such an exercise unless a direct survey is conducted on the availability of labour and its use over different seasons, if not exact periods in a month.13 Estimating disguised unemployed labour using the population unemployed in the peak season generates an upward bias because, for any operation, work is assumed to be evenly distributed over the entire period.14
To estimate excess labour in this paper, we have considered two variables, namely, potential labour supply and total labour use. Given the characteristics of labour supply mentioned above, in most of the study villages, across socio-economic classes, at least two workers per household supplied their labour throughout the production year and remained immobile for the entire production year. The potential labour supply at the household level was obtained by assuming that two persons each worked for 20 days (eight hours per day) a month for 12 months, resulting in a potential labour supply of 480 standard labour days for a household.15 However, unlike other sectors of the economy, the heterogeneity of person-hours worked due to differences in the physical ability of the workers might also affect the labour supply in crop production.16
Furthermore, to estimate the potential supply of workers and subsequently that of surplus workers at the village level, we have considered only the agrarian classes – landlords and rich peasants, middle peasants, small peasants, and manual workers.17 The class of manual workers provides a major share of its labour for crop production and participates in the non-agricultural wage-labour market in and around the village.
Total labour use can be approached in two ways: (i) total household labour use, and (ii) total labour use in crop production. Total household labour use consists of labour of household members in crop production (including labour provided by both male and female workers in own cultivation), household labour used for rearing livestock, labouring out in crop production against wages, labouring out in non-agricultural work against wages, and salaried/regular wage employment.18 The aggregate of the above-mentioned components will give the estimate of total household labour use. The difference between total household labour use and potential labour supply at the household level gives the excess or deficit of labour at the household level. The total labour use in crop production consists of the labour of household members and labour hired in for crop production.
To understand the extent of utilisation of total household labour use, the following four ratios are used:
Table 2 suggests that FL-CROP/FL-TOTAL in the study villages varied between 3 per cent (Nayanagar in Bihar) and 21 per cent (Panahar in West Bengal). In 8 out of 9 villages, FL-CROP/FL-TOTAL was less than 20 per cent, indicating relatively low labour use in own crop production. Family labour unspent in own crop production was utilised in livestock to an extent in some of the study villages. For instance, FL-LIVESTOCK/FL-TOTAL was as high as 52 per cent in Nayanagar since a large number of households owned livestock in this village. Here, it is important to mention that estimated figures at the village level conceal large variations across different socio-economic classes.
Table 1 Total labour use in crop production, by season, study villages in per cent and numbers
| State | Village | Pre-kharif (%) | Kharif (%) | Rabi (%) | Annual (%) | Miscellaneous (%) | Total labour use (no.) |
| Andhra Pradesh | Ananthavaram | - | 37 | 19 | 43 | - | 102440 |
| Rajasthan | 25F Gulabewala | - | 59 | 29 | - | 12 | 28611 |
| Maharashtra | Nimshirgaon | - | 10 | 16 | 38 | 36 | 46812 |
| Warwat Khanderao | - | 89 | - | - | 11 | 27177 | |
| Karnataka | Zhapur | - | 82 | 12 | - | 7 | 7035 |
| West Bengal | Kalmandasguri | 35 | 39 | 17 | - | 9 | 11134 |
| Panahar | - | 45 | 52 | - | 4 | 19804 | |
| Bihar | Katkuian | - | 40 | 4 | 54 | 1 | 39015 |
| Nayanagar | - | 0 | 58 | 18 | 25 | 52605 |
Note: The share of labour days was high for miscellaneous crops on account of vegetables in Nimshirgaon.
Source: PARI survey data.
Table 2 Components of household labour use as a proportion of total household labour supply, study villages in per cent
| State | Village | FL-CROP/FL-TOTAL | FL-LIVESTOCK/FL-TOTAL | HO-CROP/FL-TOTAL | HO-OTHER/FL-TOTAL |
| Andhra Pradesh | Ananthavaram | 16 | 27 | 41 | 17 |
| Maharashtra | Nimshirgaon | 16 | 47 | 23 | 14 |
| Warwat Khanderao | 18 | 26 | 45 | 11 | |
| Rajasthan | 25F Gulabewala | 16 | 15 | 48 | 21 |
| Karnataka | Zhapur | 10 | 19 | 25 | 46 |
| West Bengal | Kalmandasguri | 19 | 26 | 24 | 31 |
| Panahar | 21 | 40 | 13 | 26 | |
| Bihar | Katkuian | 12 | 28 | 42 | 18 |
| Nayanagar | 3 | 52 | 23 | 23 |
Source: PARI survey data.
The HO-CROP/FL-TOTAL and HO-OTHER/FL-TOTAL ratios need to be qualified, as both are applicable to the lower strata of peasants and manual workers. It was observed in most villages that the primary source of labour in the village-specific wage-labour market came from the lower strata of peasants, who supplemented their household incomes by working on others’ fields for wages and simultaneously utilised their unspent household labour, and from the manual workers, who in the absence of land and other means of production participated in the wage-labour market to earn their livelihood. It was also observed that wage-labour markets in the study villages were fairly developed, as a significantly large proportion of labour for crop production was derived from these markets. Similarly, a significant proportion of workers from peasant and manual worker households participated in non-agricultural wage employment and engaged in salaried/regular wage employment with low remuneration. However, the engagement of workers in relatively better-paid, regular employment was observed among workers from the upper section of the peasantry.
Except for Panahar in West Bengal, HO-CROP/FL-TOTAL across the villages accounted for more than 20 per cent of total household labour use, and was as high as 48 per cent in 25F Gulabewala. A higher HO-CROP/FL-TOTAL than FL-CROP/FL-TOTAL is somewhat of a puzzle. Why would a section of the peasantry participate in the wage-labour market when they could expend their labour on their own production? The answer to this lies in the nature of production organisation: primarily, the extent of owned land, crop choice, timeliness in performing agricultural tasks, and the indivisibility of labour in performing a specific agricultural task within a short duration of time. For a cultivating household, the available amount of household labour was not sufficient to complete the operation in a short duration of time, and the household hired labour from the village wage-labour market to complete the task on time. In many cases, the majority of labour was hired on piece-rate contracts, as this ensured completion of certain labour-intensive tasks in a short period. This led to the institutionalisation of piece-rate operations for the majority of labour-intensive operations, such as transplanting of rice, harvesting and threshing of rice and wheat, cotton picking, and most tasks involved in sugarcane cultivation (Dhar 2012).
Relatively higher wage earnings from non-agricultural activities and salaried/regular wage employment attracted underutilised household labour; however, the availability of non-agricultural employment, more specifically employment in the formal sector, remained scarce. HO-OTHER/FL-TOTAL was relatively high in Zhapur in Karnataka (at 46 per cent), and Kalmandasguri in West Bengal (at 31 per cent). In the other seven villages, it was around 20 per cent. It is important to mention here that the proportion of labour use in salaried/regular wage employment was very low across all the study villages. The most prevalent employment-generating non-agricultural sectors were construction, transportation, and petty services.
It can be observed that FL-CROP and HO-CROP together constituted a significantly large proportion of FL-TOTAL. In four out of nine villages, more than 50 per cent of FL-TOTAL was expended either to cultivate own land or on hiring out labour for crop production. In another five villages, FL-CROP and HO-CROP together constituted between 26 and 50 per cent of FL-TOTAL. Thus, a major share of expended labour was utilised for crop production, either in own crop production or in selling labour to others’ crop production. The non-agricultural sector could not create an alternative to absorb underspent and unspent labour in most of the village production systems.
To estimate the magnitude of surplus labour, we have considered the labour absorption in crop production vis-à-vis potential supply of labour. The aggregate of household and hired labour use in own cultivation, referred to as labour use in crop production (LU-CROP) is taken as a proportion of the potential labour supply (PLS).
The data suggest that, with respect to potential labour supply, the capacity to deploy labour in crop production was low across all the study villages. In eight out of nine villages, LU-CROP/PLS was less than 15 per cent. LU-CROP/PLS was relatively high in Ananthavaram (28 per cent) and abysmally low in Nayanagar (8 per cent) (see Table 3).
Table 3 Labour use in crop production as a proportion of potential labour supply, study villages in per cent
| State | Village | LU-CROP/PLS |
| Andhra Pradesh | Ananthavaram | 28 |
| Maharashtra | Nimshirgaon | 11 |
| Warwat Khanderao | 13 | |
| Rajasthan | 25F Gulabewala | 19 |
| Karnataka | Zhapur | 12 |
| West Bengal | Kalmandasguri | 11 |
| Panahar | 13 | |
| Bihar | Katkuian | 12 |
| Nayanagar | 8 |
Source: PARI survey data.
Again, total household labour use in relation to potential labour supply suggests that serious underemployment prevails among the working-age population at the village level (see Figure 4). Not even 50 per cent of available labour was expended in any of the study villages. In six out of nine villages, the FL-TOTAL as a proportion of potential labour supply was less than 30 per cent, indicating the magnitude of underemployment among workers in rural India. It also suggests that current village-level production systems (both agricultural and non-agricultural) are not equipped to absorb all available labour, indicating an employment crisis in the countryside.
Policymakers have always resorted to state-driven employment-generating schemes to mitigate the employment crisis. However, a crisis of this magnitude cannot be solved with limited allocation of resources through such schemes when market-based economic activities fail to generate employment consistently.
Estimation of Surplus Workers
Labour use in crop production along with labour use in other sectors of the village economy suggest that there was a large pool of unspent labour available in the village production systems. Using the following method, we tried to estimate the number of surplus workers given the size of the working-age population in the study villages.
Labour absorption (in person-days) in crop production in the ith month =
, i=1(1)12
where
is the number of person-days generated in crop production over the i-th month
If the number of workers required to perform
days of agricultural work in the ith month is
, i = 1(1)12 then
, for the ith month, where i = 1(1)12
The number of days of work per month per worker T=20 (assuming 20 standard person- days per month), as discussed before.
The supply of workers is
, for the ith month, where i = 1(1)12
is assumed to be constant over the entire production year. This implies there is no inflow and outflow of workers willing to be engaged in crop production.
So,
, for all i.
The number of surplus workers for the ith month is
, where i = 1(1)12
Given the level of technology and production organisation, min
can be withdrawn from crop production permanently.
To explain the method, we use the example of 25F Gulabewala (Table 4). The number of available workers in this village was 433, assumed to be constant for the entire production year. Labour absorption was concentrated in October–November for harvesting cotton and required 559 workers to perform the task; hence, a shortage of workers was created for this single month in the entire production year. There was no requirement of workers in June–July and the requirement was negligible in the months of May–June and December–January, during which the entire workforce was surplus. Because the deployment of workers was highest in October–November, there was a deficit of workers in this month. In the remaining 11 months, 45–100 per cent of workers were surplus if they stayed put in the village production system to receive employment during the peak period. In this scenario, they could face serious unemployment and underemployment for a major portion of the production year given the limitations of the village production system to create employment.19
Table 4 Estimation of surplus workers in crop production, 25F Gulabewala in numbers
| Month | Total labour used | Required workers | Available workers | Surplus workers |
| May–June | 57 | 3 | 433 | 430 |
| June–July | 0 | 0 | 433 | 433 |
| July–August | 486 | 24 | 433 | 409 |
| August–September | 2516 | 126 | 433 | 307 |
| September–October | 4604 | 230 | 433 | 203 |
| October–November | 11093 | 555 | 433 | -122 |
| November–December | 1508 | 75 | 433 | 358 |
| December–January | 151 | 8 | 433 | 425 |
| January–February | 2200 | 110 | 433 | 323 |
| February–March | 1563 | 78 | 433 | 355 |
| March–April | 3297 | 165 | 433 | 268 |
| April–May | 1135 | 57 | 433 | 376 |
Source: PARI survey data.
Table 5 Extent of surplus workers in crop production, study villages in per cent
| Month | Andhra Pradesh | Rajasthan | Maharashtra | Karnataka | West Bengal | Bihar | |||
| Ananthavaram | 25F Gulabewala | Nimshirgaon | Warwat Khanderao | Zhapur | Kalmandasguri | Panahar | Katkuian | Nayanagar | |
| May–June | 76 | 99 | 90 | 98 | 89 | 68 | 65 | 78 | 99 |
| June–July | 57 | 100 | 86 | 44 | 93 | 74 | 76 | 69 | 95 |
| July–August | 31 | 94 | 75 | 95 | 81 | 57 | 85 | 75 | 98 |
| August–September | 99 | 71 | 78 | 7 | 100 | 100 | 100 | 99 | 99 |
| September–October | 65 | 47 | 81 | 96 | 49 | 100 | 100 | 100 | 99 |
| October–November | 63 | –28 | 75 | 47 | 98 | 92 | 54 | 87 | 98 |
| November–December | –110 | 83 | 80 | 100 | 28 | 57 | 61 | 59 | 79 |
| December–January | 42 | 98 | 88 | 100 | 99 | 99 | 71 | 56 | 94 |
| January–February | 55 | 75 | 88 | 73 | 100 | 94 | 88 | 44 | 82 |
| February–March | 84 | 82 | 90 | 100 | 77 | 96 | 100 | 97 | 94 |
| March–April | 88 | 62 | 100 | 100 | 100 | 83 | 78 | 82 | 82 |
| April–May | 48 | 87 | 99 | 100 | 100 | 100 | 100 | 93 | 78 |
| No. of workers | 855 | 433 | 1372 | 567 | 188 | 308 | 449 | 748 | 1239 |
Source: PARI survey data.
Table 6 Extent of surplus workers in crop production by sex, study villages in per cent
| Month | Andhra Pradesh | Rajasthan | Maharashtra | Karnataka | West Bengal | Bihar | ||||||||||||
| Ananthavaram | 25F Gulabewala | Nimshirgaon | Warwat Khanderao | Zhapur | Kalmandasguri | Panahar | Katkuian | Nayanagar | ||||||||||
| Male | Female | Male | Female | Male | Female | Male | Female | Male | Female | Male | Female | Male | Female | Male | Female | Male | Female | |
| May–June | 66 | 93 | 99 | 100 | 89 | 91 | 98 | 97 | 86 | 94 | 65 | 70 | 52 | 87 | 67 | 92 | 96 | 100 |
| June–July | 92 | 0 | 100 | 100 | 90 | 81 | 44 | 45 | 89 | 97 | 77 | 70 | 74 | 77 | 85 | 49 | 88 | 98 |
| July–August | 38 | 20 | 91 | 100 | 85 | 60 | 99 | 90 | 95 | 64 | 52 | 63 | 79 | 94 | 79 | 69 | 95 | 99 |
| August–September | 99 | 100 | 52 | 99 | 82 | 71 | 58 | -53 | 100 | 100 | 100 | 100 | 100 | 100 | 98 | 100 | 98 | 99 |
| September–October | 80 | 42 | 64 | 21 | 85 | 74 | 97 | 96 | 75 | 16 | 100 | 100 | 100 | 100 | 100 | 100 | 96 | 100 |
| October–November | 76 | 42 | 8 | -82 | 65 | 93 | 58 | 34 | 97 | 98 | 90 | 93 | 38 | 74 | 77 | 100 | 94 | 100 |
| November–December | 21 | -323 | 71 | 100 | 76 | 86 | 100 | 100 | 56 | -7 | 57 | 58 | 47 | 85 | 56 | 64 | 55 | 89 |
| December–January | 26 | 69 | 97 | 100 | 95 | 75 | 100 | 100 | 99 | 100 | 99 | 98 | 61 | 85 | 34 | 84 | 81 | 100 |
| January–February | 92 | -5 | 58 | 99 | 95 | 75 | 71 | 75 | 100 | 100 | 93 | 95 | 81 | 98 | 28 | 63 | 55 | 91 |
| February–March | 93 | 70 | 70 | 99 | 86 | 96 | 100 | 100 | 82 | 69 | 93 | 99 | 100 | 100 | 94 | 100 | 82 | 99 |
| March–April | 96 | 76 | 37 | 99 | 100 | 100 | 100 | 100 | 100 | 100 | 87 | 79 | 74 | 85 | 78 | 88 | 70 | 87 |
| April–May | 87 | -15 | 78 | 100 | 99 | 100 | 100 | 100 | 100 | 100 | 100 | 100 | 100 | 100 | 87 | 100 | 65 | 83 |
| No. of workers | 530 | 325 | 259 | 174 | 850 | 522 | 308 | 259 | 104 | 84 | 166 | 142 | 264 | 185 | 415 | 333 | 734 | 1796 |
Source: PARI survey data.
In the case of Ananthavaram, the cropping pattern was highly labour-absorbing. The cultivation of betel leaf, sugarcane, and rice absorbed much of the available labour within the village boundary, and labour use was well-distributed across the production year. The requirement of workers was higher than available workers during November–December, the busiest time of the production year. Harvest and post-harvest operations of rice followed by sowing of maize and harvesting of betel leaf created labour shortage of a magnitude of 110 per cent – the estimated shortfall being of 934 workers (see Table 5). This implies that, during this time, workers were hired from neighbouring villages to perform agricultural operations in betel leaf cultivation, which is considered as a specialised job.
In another distinct case, labour use in Nimshirgaon was almost evenly distributed across the months. Crop cultivation here actually required less than 25 per cent of available workers, and around 75 per cent of them could be withdrawn without increasing the burden of remaining workers for the entire production year.
In Katkuian, at least 44 per cent of available workers were surplus and could be permanently moved out of crop production. Historically, workers from Katkuian migrated to Punjab, one of the prominent Green Revolution regions of India, to work as wage labourers in rice and wheat cultivation. However, in recent years, both the location of migration and nature of work have changed significantly.20 A substantially large section of migrants did not feature in the calculation of surplus workers due to the assumption of constant supply of labour during the production year. It was estimated that 257 workers had migrated during the survey year, which was 34 per cent of the total workforce.
In the case of Nayanagar, at least 78 per cent of workers could be withdrawn permanently from crop production; cultivation practices could not absorb more than 85 per cent of available workers for eight months of the production year. A high degree of unemployment and underemployment prevailed among the workforce, and data further suggest that 901 workers (36 per cent of the total workforce) migrated to various parts of India to work mostly in the informal sector. Apart from the permanent withdrawal of workers from crop production, a substantially large section of surplus workers could be withdrawn from crop production for a short period and could return to crop production during the peak period.
Separate identification of female surplus workers in crop production was a complex exercise, as female workers were engaged in multiple activities, such as own farm work, maintaining animal resources, and participating in the wage-labour market (in the case of women from manual worker and peasant households). Considering these economic activities, the number of female workers as a proportion of all workers ranged from 25.9 per cent to 39.1 per cent in the study villages. As presented in Table 6, in 25F Gulabewala, Panahar, Kalmandasguri, Katkuian and Nayanagar, a large proportion of female workers were surplus workers in crop production. For instance, in Panahar, the magnitude of female surplus workers over the production year varied from 74 per cent (October–November) to 100 per cent (in four months). However, in Ananthavaram, Nimshirgaon, Warwat Khanderao, and Zhapur, the proportion of female surplus workers in crop production was relatively low. In fact, in Ananthavaram, in three months, a shortage of female workers was observed.
In the case of Nayanagar, the unemployment and underemployment crisis among female workers was chronic. The absolute number of female workers was 2.4 times that of male workers. The reason for such an overwhelming number of female workers in the rural production system was the high rate of male migration. Of all migrants, the share of female migrants was only 3 per cent. The near-immobility of female workers outside the village production system forced them to participate in the rural wage-labour market to access limited employment opportunities. This resulted in a large contingent of female surplus workers. The month-wise distribution of female surplus workers suggests that at least 83 per cent of female workers could be withdrawn from the crop production system.
The transfer of surplus female workers to other sectors is a difficult proposition, as women bear the additional burden of housework. The pressure of the care-giving role of female workers greatly restricts their mobility, confining them within the village boundary. The creation of employment opportunities within the village production system for such a large contingent of surplus workers is a crucial and challenging task for policymakers. The emergence of home-based production did generate some employment for the female surplus workforce, but the scope of home-based work was too narrow to solve the critical problem of surplus workers of such magnitude. More innovative forms of off-farm work need to be evolved to comprehensively address the complex issue of female surplus workers, whose mobility is determined not only by economic considerations but rather by social norms along with prevailing customs in the villages.
Conclusions
I used data from nine villages for this analysis. Of them, three villages (Ananthavaram in Andhra Pradesh, Nimshirgaon in Maharashtra, and 25F Gulabewala in Rajasthan) are agriculturally prosperous villages, two villages (Katkuian and Nayanagar in Bihar) have large number of migrants, and two villages (Warwat Khanderao in Maharashtra and Zhapur in Karnataka) are dry villages. The remaining two villages are from West Bengal, with three-season crop production.
The following conclusions emerged from a context-specific analysis of existing labour use in crop production, and an estimation of surplus labour and surplus workers.
First, the total labour use in crop production was very low when compared to potential labour supply in the study villages. The labour use in crop production as a proportion of the potential labour supply varied from a minuscule 8 per cent in Nayanagar, Bihar to only 28 per cent in Ananthavaram, Andhra Pradesh. This shows clearly that, that given the current level of technology, the labour-carrying capacity of crop production cannot sustain the workforce. In fact, any technological improvement in crop production might further lower the labour-carrying capacity of agriculture. One option available to workers was to use their labour by participation in the wage-labour market within and outside the village. A substantial number of persons in the study villages obtained wage work in crop production outside the village.
Secondly, the unemployment and underemployment crisis among female workers was chronic. In Panahar, Kalmandasguri, Katkuian, and Nayanagar, a large proportion of female workers were surplus workers in crop production. For instance, the proportion of female surplus workers was as high as 74 per cent in Panahar, West Bengal, and 83 per cent in Nayanagar, Bihar. The data also revealed a shortage of female workers in Ananthavaram, where the cultivation of labour absorbing cropping pattern generated employment opportunities for female workers for at least three months of the production year. For most villages, however, the creation of employment opportunities within the village production system for a large contingent of female surplus workers is a crucial and challenging task for policymakers.
Thirdly, every village had a large number of surplus workers throughout the production year. Except for a few instances of shortage of workers during the peak season, the idea that agriculture suffers from a shortage of workers is devoid of any empirical evidence. A large number of surplus workers across the study villages could be permanently withdrawn from crop production without affecting the level of output or increasing the labour-hours of the remaining workers in crop production. For example, in Nayanagar, at least 78 per cent, and, in Nimshirgaon 75 percent of workers, could be withdrawn permanently from crop production even after meeting current demand in crop production.
Fourthly, seasonality played a major part in crop production. In six out of the nine villages, a major share of the total labour employment was generated in the kharif (monsoon crop) season, ranging from 39 per cent in Kalmanadauri in West Bengal to 89 per cent in Warwat Khanderao in Maharashtra, mainly because of the cropping pattern and extent of gross cropped area cultivated during the kharif season as compared to the rabi season. The distribution of labour use for the cultivation of annual crops like sugarcane or of horticultural crops was less skewed, as workers are needed for various crop operations over the entire production year.
Fifthly, within a crop season, data on labour use by crop operation data suggest that the largest share of employment was generated in harvest and post-harvest operations. For instance, in 25F Gulabewala, Rajasthan, about 80 per cent of the total labour used in cotton cultivation in the kharif season was spent on picking cotton. Among other tasks, weeding and irrigation together absorbed 15 per cent of the total labour use. There were thus stark differences in labour absorption across crop operations. Further, a month-wise disaggregation of labour use in a production year showed striking employment patterns. For example, in Kalmandasguri, West Bengal, about 89 per cent of the total labour use was concentrated in four months of the production year. The two peak labour-absorbing periods were July–August (absorbing 24 per cent of total labour use for jute harvesting and post-harvesting operations) and November–December (absorbing 24 per cent of total labour use for rice harvesting). So, even in a village with a three-season crop cycle like Kalmandasguri, there was variability in labour use over different months of the production year. In most of the study villages, irrespective of the level of agricultural development, the deployment of labour was concentrated in a few months, specifically the harvesting months.
Sixthly, the labour absorption capacity of crop production was low (varying between 3 per cent of potential labour supply in Nayanagar in Bihar to 21 per cent Panahar in West Bengal). In most of the study villages, a significantly large proportion of labour within the household was utilised to rear livestock. For example, 52 per cent of family labour in Nayanagar was used for animal rearing. For most peasant and manual worker households, labouring out in crop production was an important activity. For instance, in four out of nine villages, more than 50 per cent of total labour was expended either to cultivate own land or on hiring out labour for crop production. Non-agricultural wage employment and salaried/regular wage employment constituted a very small portion of total household labour use, with the exception of Zhapur (Karnataka).
To conclude, the analysis suggests that crop production at the present level of forces of production cannot carry as large a workforce as currently needs work. Further improvements in technology will reduce the labour-absorption capacity of crop production further, leaving even more workers unemployed or underemployed. From a policy perspective, it is imperative that employment generation occurs in other sectors of the economy, as crop production does not have the capacity to absorb more workers; on the contrary, the withdrawal of a significant proportion of the workforce from crop production would improve the overall employment situation. Although the findings from nine villages cannot be generalised for all villages of India, this study highlights the importance of the magnitude and characteristics of surplus labour, and aims to bring it to the centre of any discussion on labour and employment in rural India.
Acknowledgements: I thank Madhura Swaminathan for comments and suggestions. I acknowledge the research assistance provided by Subhajit Patra and Shruti Nagbhushan. This paper draws on the findings of the report “Current Labour Use in Crop Production and Potential Surplus Labour,” prepared by the Foundation for Agrarian Studies (FAS) in collaboration with the National Institute of Rural Development and Panchayati Raj (NIRDPR).
Notes
1 The pure effect of tractorisation on labour use in a single season is negative (Farrington et al. 2006; Basant 1987), whereas studies have also shown that the pure labour-saving effects of mechanisation are often offset by the labour-augmenting effects of the use of complementary inputs (Rao 1975; Kalirajan and Shand 1982; Estudillo and Otsuka 1999). The net impact of these two opposing forces on labour utilisation has been a continuing point of debate.
2 See Benson (1979); Ryan, Ghodake, and Sarin (1979); Hayami and Kikuchi (2000); David and Otsuka (1994).
3 See Bezu et al. (2012).
4 See Rutenberg (1971), and Sen (1966).
5 For further discussion, see Feuerbacher (2020).
6 The existence of unemployment and underemployment in agriculture is observed mostly during low-intensity cultivation phases Dillon (2019).
7 See also Mehra (1966).
8 See also Swaminathan and Usami (2016).
9 The major agricultural tasks are land preparation, sowing/transplanting, irrigation, weeding, intercultural operations, harvest and post-harvest operations.
10 For other villages, see Figure A9.
11 This section is a modified version of Dhar with Patra (2017).
12 See also Krishnaji (1980).
13 Using this method, Tims (1965) calculated an average of 600 person-hours per cropped acre in erstwhile East Pakistan in 1960–61, and 2,200 hours as a full year’s equivalent of employment (cited in Muqtada 1975). In addition, the labour force employed in livestock and fisheries was estimated to be one-third of the person-years employed on crops.
14 In practice, however, work may be unevenly distributed even within this period. Cross-sectional studies of India and Pakistan suggest that smaller farm units apply more labour and other material inputs per acre, and also generate larger output per acre (Mathur 1964; Mazumdar 1965; Paglin 1965).
15 The available literature assumes about 300 standard labour days per year per worker belonging to the cultivating households. However, given the number of days of work prevailing in other sectors of the economy, 300 standard labour days seems high. For instance, government employees in India work between 220 and 240 days.
16 For further discussion, see Robinson (1969).
17 For a detailed socio-economic class analysis, see Ramachandran (2011).
18 As we have considered agrarian classes only, the number of those engaged in salaried/regular wage employment was insignificant.
19 For detailed analysis on unemployment and underemployment crises from the PARI village studies see Dhar (2013).
20 New destinations for the migrant workers were Delhi, Uttar Pradesh, Karnataka, and Gujarat. The migrants were primarily engaged as agricultural workers, loading and unloading workers, construction workers, tailors, carpenters, factory workers, and brick kiln workers at their destination.
References
| Athreya, Venkatesh B., Böklin, Gustav, Djurfeldt, Göran, and Lindberg, Staffan (1986), “Economies of Scale or Advantages of Class? Some Results from a South Indian Farm Economy Study,” Economic and Political Weekly, vol. 21, no. 13, pp. A2–A14. | |
| Bardhan, Kalpana (1983), “Economic Growth, Poverty and Rural Labour Markets in India: A Survey of Research,” Working Paper no. 54, World Employment Programme, Rural Employment Policy Research Programme, ILO, Geneva. | |
| Basant, Rakesh (1987), “Agricultural Technology and Employment in India: A Survey of Recent Research,” Economic and Political Weekly, vol. 22, no. 31, pp. 1297–1308. | |
| Benson, Janet (1979), “Rural Labour Use and Development Strategies in East Africa and India,” in G. James Ryan, R. D. Ghodake, and R. Sarin (eds.), Labour Use and Labour Markets in Semi-Arid Tropical Rural Villages of Peninsular India, Proceedings of the International Workshop on Socio-economic Constraints to Development of Semi-Arid Tropical Agriculture, Hyderabad, India. | |
| Berry, R. Albert, and Cline, William R. (1979), Agrarian Structure and Productivity in Developing Countries: A Study Prepared for the International Labour Office within the Framework of the World Employment Programme, The Johns Hopkins University Press, London. | |
| Bezu, S., Barrett, C. B., and Holden, S. T. (2012), “Does the Nonfarm Economy Offer Pathways for Upward Mobility? Evidence from a Panel Data Study in Ethiopia”, World Development, 40 (8), pp. 1634–46, available at https://doi.org/10.1016/j.worlddev.2012.04.019 | |
| Bharadwaj, Krishna (1974), Production Conditions in Indian Agriculture: A Study Based on Farm Management Survey, Cambridge University Press, London. | |
| Bharadwaj, Krishna (1994), Accumulation, Exchange and Development: Essays on the Indian Economy, Sage Publications, New Delhi. | |
| Bhattacharya, N., and Saini, G. R. (1972), “Farm Size and Productivity: A Fresh Look,” Economic and Political Weekly, vol. 7, no. 26, pp. A63, A65–A72. | |
| David, Cristina C., and Otsuka, Keijiro (eds.) (1994), Modern Rice Technology and Income Distribution in Asia, Lynne Rienner Publishers, Manila. | |
| Dhar, Niladri Sekhar (2012), “Employment and Earnings of Labour Households in Rural India: A Study of Andhra Pradesh,” unpublished PhD thesis, University of Calcutta, Kolkata. | |
| Dhar, Niladri Sekhar, with Kaur, Navpreet (2013), “Features of Rural Underemployment in India: Evidence from Nine Villages,” Review of Agrarian Studies, vol. 3, no. 1, available at http://ras.org.in/features_of_rural_underemployment_in_india, viewed on December 12, 2016. | |
| Dhar, Niladri Sekhar, with Patra, Subhajit (2017), “Labour in Small Farms: Evidence from Village Studies,” in Madhura Swaminathan and Sandipan Bakshi (eds.), How do Small Farmers Fare? Evidence from Village Studies, Tulika Books, New Delhi. | |
| Dillon, B., Brummund, P., and Mwabu, G. (2019), “Asymmetric non-separation and rural labor markets”, Journal of Development Economics, 139, pp. 78–96. | |
| Estudillo, Jonna P., and Otsuka, Keijiro (1999), “Green Revolution, Human Capital, and Off-Farm Employment: Changing Sources of Income Among Farm Households in Central Luzon, 1966–1994,” Economic Development and Cultural Change, vol. 47, no. 3, pp. 497–523. | |
| Farrington, John, Deshingkar, Priya, Johnson, Craig, and Start, Daniel (eds.) (2006), Policy Windows and Livelihood Futures: Prospects for Poverty Reduction in Rural India, Oxford University Press, New Delhi. | |
| Fei, John C. H., and Gustav Ranis (1964), Development of the Labor Surplus Economy: Theory and Policy, The Economic Growth Center, Yale University. | |
| Feuerbacher, A., McDonald, S., Dukpa, C., and Grethe, H. (2020), “Seasonal rural labor markets and their relevance to policy analyses in developing countries,” Food Policy, 93, available at https://doi.org/10.1016/j.foodpol.2020.101875 | |
| Haggblade, S., Hazell, P., and Reardon, T. (2010), “The rural non-farm economy: Prospects for growth and poverty reduction,” World Development, 38 (10), pp. 1429–41. | |
| Hayami, Yujiro, and Kikuchi, Masao (2000), A Rice Village Saga: Three Decades of Green Revolution in the Philippines, International Rice Research Institute, and Barnes & Noble, New York. | |
| Ishikawa, Shigeru (1976), “Labour Absorption in Asian Agriculture: An ‘Issue’ Paper,” ILO-ARTEP, Bangkok. | |
| Ishikawa, Shigeru (1981), “Essays on Technology, Employment and Institution in Economic Development: Comparative Asian Experience,” Economic Research Series No. 19, The Institute of Economic Research, Hitotsubashi University, Tokyo, Japan. | |
| Jarvis, L., and Vera-Toscano, E. (2004), “Seasonal adjustment in a market for female agricultural workers”, American Journal of Agricultural Economics, 86 (1), pp. 254–66. | |
| Kalirajan, K., and Shand, R. T. (1982), “Labour Absorption in Tamil Nadu Agriculture: A Micro Analysis,” The Developing Economies, vol. 20, no. 3, pp. 333–43. | |
| Krishnaji, N. (1980), “Agrarian Structure and Family Formation: A Tentative Hypothesis,” Economic and Political Weekly, vol. 15, no. 13, pp. A38–A43. | |
| Lanjouw, J. O., and Lanjouw, P. (2001), “The rural non-farm sector: Issues and evidence from developing countries”, Agricultural Economics, 26 (1), pp. 1–23. | |
| Mathur, Ashok (1964), “The Anatomy of Disguised Unemployment,” Oxford Economic Papers, vol. 16, no. 2, pp. 161–93. | |
| Mazumdar, Dipak (1965), “Size of Farm and Productivity: A Problem of Indian Peasant Agriculture,” Economica, vol. 32, no. 126, pp. 161–73. | |
| Mehra, Shakuntala (1966), “Surplus Labour in Indian Agriculture,” Indian Economic Review, vol. 1. no. 1, pp. 111–29. | |
| Mehta, Niti (2006), “Employment Availability for Hired Workers: A Comparative Study of Two Villages,” Indian Journal of Labour Economics, vol. 49, no. 3. | |
| Mitra, Ashok K. (1976), “Surplus Labour in Agriculture: Some Estimates,” Economic and Political Weekly, vol. 11, no. 28, pp. 1041–45. | |
| Mukherjee, Chandan, and Krishnaji, N. (1995), “Dynamic of Family Size and Composition: A Computer Simulation Study with Reference to Rural India,” The Journal of Peasant Studies, vol. 22, no. 2, pp. 279–99. | |
| Muqtada, M. (1975), “The Seed-Fertilizer Technology and Surplus Labour in Bangladesh Agriculture,” The Bangladesh Development Studies, vol. 3, no. 4, pp. 403–28. | |
| Osmani, S. R. (1998), “Did the Green Revolution Hurt the Poor? A Re-examination of the Early Critique,” in Prabhu L. Pingali and Mahabub Hossain (eds.), Impact of Rice Research, International Rice Research Institute, Philippines, pp. 193–213. | |
| Paglin, Morton (1965), “Surplus Agricultural Labor and Development: Facts and Theories,” The American Economic Review, vol. 55, no. 4, pp. 815–34. | |
| Ramachandran, V. K. (1990), Wage Labour and Unfreedom in Agriculture: An Indian Case Study, Clarendon Press, Oxford. | |
| Ramachandran, V. K. (2011), “The State of Agrarian Relations in India Today,” The Marxist, vol. 27, nos. 1–2, January–June. | |
| Ramachandran, V. K., and Rawal, Vikas (2009), “The Impact of Liberalization and Globalization on India’s Agrarian Economy,” Global Labour Journal, vol. 1, no. 1, pp. 56–91. | |
| Ramachandran, V. K., Rawal, Vikas, and Swaminathan, M. (eds.) (2010), Socio-economic Surveys of Three Villages in Andhra Pradesh: A Study of Agrarian Relations, Tulika Books, New Delhi. | |
| Ramachandran, V. K., and Swaminathan, Madhura (eds.) (2002), Agrarian Studies: Essays on Agrarian Relations in Less-Developed Countries, Tulika Books, New Delhi. | |
| Rao, C. H. Hanumantha (1975), Technological Change and Distribution of Gains in Indian Agriculture, Institute of Economic Growth and MacMillan Company, Delhi. | |
| Reynolds, Lloyd G. (1969), “Relative Earnings and Manpower Allocation in Developing Economies,” The Pakistan Development Review, vol. 9, no. 1, pp. 14–34. | |
| Robinson, W. C. (1969), “Types of Disguised Rural Unemployment and Some Policy Implications,” Oxford Economic Papers, vol. 21, no. 3, pp. 373–386. | |
| Ruthenberg, H. (1971), Farming Systems in the Tropics, Oxford University Press, Oxford, UK. | |
| Ryan, G. James, Ghodake, R. D., and Sarin, R. (1979), “Labour Use and Labour Markets in Semi-Arid Tropical Rural Villages of Peninsular India,” in Proceedings of the International Workshop on Socio-economic Constraints to Development of Semi-Arid Tropical Agriculture, Hyderabad, India. | |
| Sen, A. K. (1964), “Size of Holdings and Productivity”, Economic and Political Weekly, Annual Number 16, February, pp. 323–26. | |
| Sen, A.K. (1966), “Peasants and Dualism with or without Surplus Labor”, Journal of Political Economy, 74 (5), pp. 425–50. | |
| Sen, A. K. (1975), Employment, Technology and Development, Oxford University Press, New York. | |
| Sundarayya, P. (1977), “Class Differentiation of the Peasantry: Results of Rural Surveys in Andhra Pradesh”, Part I, Social Scientist, 5 (56), pp. 51–83. | |
| Sundarayya, P. (1977), “Class Differentiation of the Peasantry: Results of Rural Surveys in Andhra Pradesh”, Part II, Social Scientist, 5 (57), pp. 45–60. | |
| Swaminathan, Madhura, and Usami, Yoshifumi (2016), “Women’s Role in the Livestock Economy,” Review of Agrarian Studies, vol. 6, no. 2, available at http://ras.org.in/697c22e48e9cb0207d3e5d7560c971f6, viewed on April 22, 2020. | |
| Taylor, J. E., and Charlton, D. (2019), The farm labor problem: A global perspective, Academic Press, London, 1 Online-Resource. | |
| Tims, W., (1965) Employment by Regions and Sectors: 1950-85 (memorandum to Planning Commission, Government of Pakisthan, 1965). | |
| Van der Eng, P. (2004), “Productivity and comparative advantage in rice agriculture in South-East Asia since 1870”, Asian Economic Journal, 18 (4), pp. 345–70. | |
| Vijayamba, R. (2018), “Women's Labour in Livestock Economy: Time Use in Two Villages in Karnataka,” paper presented at the International Conference on Women’s Work in Rural Economies at Vayalar, Kerala, organised by Foundation for Agrarian Studies. | |
| Vyas, V. S. (2004), “Agrarian Distress: Strategies to Protect Vulnerable Sections Source,” Economic and Political Weekly, vol. 39, no. 52, pp. 5576–79, 5581–82. | |
| Wahid, A. N. (2007), “Impact of agricultural modernisation on rural labour market of Bangladesh”, Journal of Contemporary Asia, 15 (1), pp. 64–78. |
Appendix
Table A1 Details of study villages
| Village | District, State | Agroecological zone* | Survey year | Number of households | Population | Gross cropped area (in acres) |
| Ananthavaram | Guntur, Andhra Pradesh | Krishna–Godavari Zone | 2006 | 667 | 2410 | 2404.5 |
| 25F Gulabewala | Sri Ganganagar, Rajasthan | Irrigated North-Western Plain Zone | 2007 | 204 | 1131 | 3193.4 |
| Nimshirgaon | Kolhapur, Maharashtra | South Konkan Coastal Zone | 2007 | 758 | 3790 | 1677 |
| Warwat Khanderao | Buldhana, Maharashtra | Western Maharashtra Plain Zone | 2007 | 250 | 1308 | 1140.8 |
| Zhapur | Kalaburagi, Karnataka | North-East Dry Zone | 2009 | 109 | 667 | 587.8 |
| Kalmandasguri | Cooch Behar, West Bengal | Terai Zone | 2010 | 147 | 701 | 195.4 |
| Panahar | Bankura, West Bengal | Old Alluvial Zone | 2010 | 248 | 1083 | 441.3 |
| Katkuian | West Champaran, Bihar | North-West Alluvial Gangetic Region | 2012 | 350 | 2219 | 877 |
| Nayanagar | Samastipur, Bihar | North-West Alluvial Gangetic Region | 2012 | 1205 | 5817 | 2130 |
Source: PARI survey data.
Table A2 Household members, by class, study villages in numbers
| State | Village | Landlord and rich peasant | Middle peasant | Small peasant | Manual worker | Other |
| Andhra Pradesh | Ananthavaram | 4 | 4 | 4 | 3 | 3 |
| Maharashtra | Nimshirgaon | 9 | 5 | 5 | 4 | 5 |
| Warwat Khanderao | 10 | 6 | 5 | 5 | 5 | |
| Rajasthan | 25F Gulabewala | 8 | 6 | NA | 5 | 5 |
| Karnataka | Zhapur | 8 | 9 | 7 | 6 | 5 |
| West Bengal | Kalmandasguri | NA | NA | 5 | 4 | 4 |
| Panahar | 8 | 5 | 4 | 4 | 4 | |
| Bihar | Katkuian | 10 | 10 | 7 | 6 | 6 |
| Nayanagar | 15 | 8 | 5 | 5 | 5 |
Note: NA = Not applicable.
Source: PARI survey data.
Table A3 Workers per household, by class, study villages in numbers
| State | Village | Landlord and rich peasant | Middle peasant | Small peasant | Manual worker | Other |
| Andhra Pradesh | Ananthavaram | 1 | 2 | 2 | 2 | 1 |
| Maharashtra | Nimshirgaon | 4 | 3 | 3 | 2 | 2 |
| Warwat Khanderao | 4 | 3 | 3 | 3 | 2 | |
| Rajasthan | 25F Gulabewala | 3 | 3 | NA | 3 | 2 |
| Karnataka | Zhapur | 2 | 4 | 4 | 3 | 2 |
| West Bengal | Kalmandasguri | NA | NA | 3 | 2 | 2 |
| Panahar | 4 | 3 | 2 | 2 | 2 | |
| Bihar | Katkuian | 4 | 4 | 4 | 3 | 3 |
| Nayanagar | 7 | 2 | 2 | 2 | 2 |
Note: NA = Not applicable.
Source: PARI survey data.

Figure A1 Labour time absorbed in each crop operation as a proportion of labour time absorbed in all crop operations in a season, Ananthavaram in per cent
Source: PARI survey data.
Note: OP_1 = Land preparation, OP_2 = Sowing/transplanting, OP_3 = Irrigation, OP_4 = Weeding, OP_5 = Intercultural operations, OP_6 = Harvest and post-harvest operations, OP_7 = Miscellaneous operations.
Source: PARI survey data.

Figure A2 Labour time absorbed in each crop operation as a proportion of labour time absorbed in all crop operations in a season, Nimshirgaon in per cent
Source: PARI survey data.
Note: OP_1 = Land preparation, OP_2 = Sowing/transplanting, OP_3 = Irrigation, OP_4 = Weeding, OP_5 = Intercultural operations, OP_6 = Harvest and post-harvest operations, OP_7 = Miscellaneous operations.
Source: PARI survey data.

Figure A3 Labour time absorbed in each crop operation as a proportion of labour time absorbed in all crop operations in a season, Warwat Khanderao in per cent
Source: PARI survey data.
Note: OP_1 = Land preparation, OP_2 = Sowing/transplanting, OP_3 = Irrigation, OP_4 = Weeding, OP_5 = Intercultural operations, OP_6 = Harvest and post-harvest operations, OP_7 = Miscellaneous operations.
Source: PARI survey data.

Figure A4 Labour time absorbed in each crop operation as a proportion of labour time absorbed in all crop operations in a season, Zhapur in per cent
Source: PARI survey data.
Note: OP_1 = Land preparation, OP_2 = Sowing/transplanting, OP_3 = Irrigation, OP_4 = Weeding, OP_5 = Intercultural operations, OP_6 = Harvest and post-harvest operations, OP_7 = Miscellaneous operations.
Source: PARI survey data.

Figure A5 Labour time absorbed in each crop operation as a proportion of labour time absorbed in all crop operations in a season, Kalmandasguri in per cent
Source: PARI survey data.

Figure A6 Labour time absorbed in each crop operation as a proportion of labour time absorbed in all crop operations in a season, Panahar in per cent
Source: PARI survey data.

Figure A7 Labour time absorbed in each crop operation as a proportion of labour time absorbed in all crop operations in a season, Katkuian in per cent
Source: PARI survey data.

Figure A8 Labour time absorbed in each crop operation as a proportion of labour time absorbed in all crop operations in a season, Nayanagar in per cent
Source: PARI survey data.

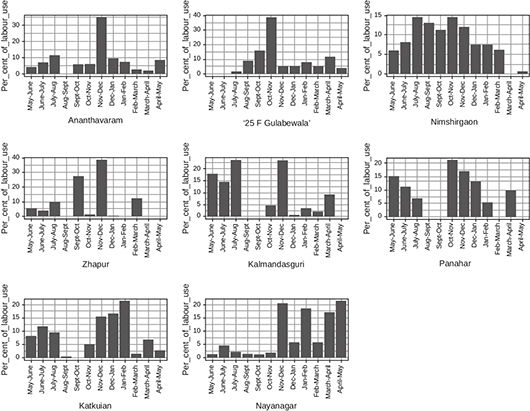
Figure A9 Labour time absorbed in each month as a proportion of labour time absorbed in all crop operations in a year, study villages in per cent
Source: PARI survey data.
Date of submission of manuscript: August 8, 2021
Date of acceptance for publication: October 8, 2021